Concrete in Hot Weather Solution Series-2
Concrete Cooling Solutions
Cooling Engineer
3/24/20252 min read


This will be the second article of our solution series regarding pouring concrete in hot weather. In the first article of this series, we focused on concrete temperature and its effects. In this article, we will focus on calculating concrete temperature.
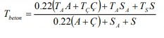
Calculating fresh concrete temperature is no different than calculating the temperature of a mixture. Fresh concrete temperature is calculated depending on the amount and temperature of the concrete components and is formulated as follows:
: It refers to the aggregate temperature, cement temperature and water temperature. : It refers to the amount of aggregate, the amount of cement and, if any the surface moisture and water amount in the aggregate.
It is stated that the fresh concrete temperature should be between 15-25°C for the concrete to set normally. Especially in the summer months, as the air temperature increases, the temperature of the concrete components also increases, and the fresh concrete temperature exceeds these degrees. In this case, it is desired to control the aggregate, cement and water temperatures in order to reduce the fresh concrete temperature to the desired levels. The most effective solution is to cool the aggregate, which has the largest proportion in the concrete, but since the heat transfer coefficient of the aggregate is low, the biggest cost is to establish a cooling system for the aggregate. Before proceeding to the step of establishing a cooling system for the aggregate, it is a more economical solution to let the aggregate rest in a shaded area and allow its temperature to drop.
The most economical step to follow for concrete cooling is to first rest the aggregate and cement and add them to production. The next step is to cool the water with the help of a chiller. Using a chiller, water can be reduced to 7°C. When a lower temperature is needed, water can be cooled to <1°C using Ice Water systems or Multi-stage chiller systems.
In projects where concrete cooling is needed more, ice is added to the concrete in the amount of water reduced from the amount of water. The melting heat of ice is utilized by adding ice. Because every 1 gram of melted ice takes 80 calories from the concrete mixture.
When ice is added to the concrete for concrete cooling purposes, the ice ratio B (kg/m³) is added to the formula. When you place the component amounts and temperatures in the formula below, we obtain the fresh concrete temperature.






Contact


Evanso Factory:
Atatürk Sanayi Sitesi
Yedi Eylül Mahallesi 5544 Sk. No:46 Torbalı İzmir